本篇文章给各位网友带来的资讯是:花样滑冰怎样才能转得更快?《张朝阳的物理课》介绍质点系的角动量定理 详情请欣赏下文
为什么杂技演员走钢丝时会手持长杆?花样滑冰时如何调节转动的角速度?4 月 15 日 12 时,《张朝阳的物理课》第四十五期开播,搜狐创始人、董事局主席兼 CEO 张朝阳坐镇搜狐视频直播间,从牛顿定律出发,推导质点系的质心运动定律和角动量定理,并将角动量定理应用于刚体的定轴转动;对杂技表演中平衡杆的作用、花样滑冰时转速调节的原理进行解释说明;最后还计算了长杆在重力作用下的摆动,阐述了长杆单摆与普通单质点单摆的区别。

质点系的质心运动定律:牛顿定律的简单叠加
之前的一系列直播课程都围绕着天体物理进行,主要介绍了太阳相关的知识。未来的直播课程将会介绍中子星,其中很重要的一点是中子星的转动。为给后续课程做铺垫,这一期张朝阳回归到了牛顿力学,介绍与转动有关的一些物理知识。
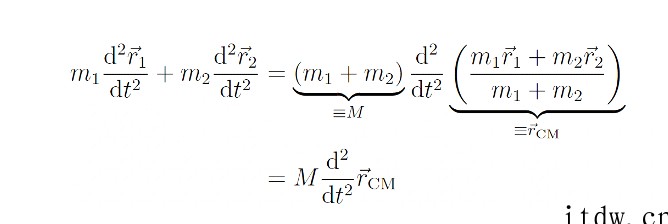
他从简单的两质点系统入手,假设两个质点的质量分别是 m1 和 m2,它们各自受到的合力分别为:

其中字母 g 表示外力,h 表示两质点之间的相互作用力,下标 21 表示质点 2 对质点 1 的作用,下标 12 类似。这里只考虑力 h 的方向平行于两质点连线的情况。利用牛顿第二运动定律 F=ma,两个质点会产生两个方程,二者相加会得到组合的运动方程:

将前面合力的表达式代入等式左边,有:

其中删除线标注的两项由于牛顿第三定律而互相抵消。前述运动方程的右边可以写为:

上式的 M 是总质量,r_CM 是质心坐标。这样就得到:

这就是质心运动定律。这个结果可以推广到多质点的情况。等式左边是质点系受到的合外力,右边是总质量乘以质心加速度,形式与牛顿定律类似。
质点系的角动量定理:总角动量变化率等于合外力矩
张朝阳强调,质心运动定律虽然形式简单,但是已经丢失了系统的很多信息。“就像 26=12 与 34=12”,如果只知道最后结果是 12,是不能确定原来是 26 还是 34 的。质心运动定律所丢失的信息就包括系统的角动量信息。

(张朝阳推导质点系的角动量定理)
先考虑单质点的情况,在某一时刻,以质点的位置矢量、质点受到的合力 F 所在的平面为 x-y 坐标面建立三维笛卡尔坐标,此刻质点的运动方程为:

分别考虑各个基矢的系数,可以得到两个方程:F_x=md^2x / dt^2 和 F_y=md^2y / dt^2。
力 F 对质点的力矩为:

将力和位矢二次导数的关系代入可以得到:

质点的角动量定义为位置与动量的叉乘,有:

考虑角动量对时间的导数:

与前面的力矩公式对比可得:

这就是单质点的角动量定理。单位时间的角动量改变量等于力矩。
在单质点角动量定理的基础上,张朝阳转而考虑两个质点的情况。与证明质心运动定律类似,对两质点应用角动量定理,公式相加可以得到:

其中的力矩之和可以改写为:

最后一个等式之所以成立,是因为质点 1 的位矢减去质点 2 的位矢等于质点 2 到质点 1 的位置矢量,而它与力 h_21 平行,从而叉乘的结果为 0。于是,总角动量单位时间的改变量等于外力矩之和。这个结论可以推广到多质点的情况。如果用 表示外力矩,那么角动量定理可以写为:

或者写为:

角动量定理在刚体定轴转动上的应用
前面推导的角动量定理对所有满足要求的质点系都是成立的,因此也可以应用于刚体的定轴转动。以刚体的转动轴为 z 轴建立柱坐标系,与 z 轴垂直的坐标面使用极坐标。考虑刚体上的一小块质量,把它看成第 i 个质点,它的角动量为:

在定轴转动的柱坐标描述下有:

其中角度 没有标注下标 i 是因为定轴转动下刚体每一点 (轴心上的点除外) 的角速度都是一样的。在定轴转动的情况下,只需要考虑 z 分量的角动量定理。将上式代入质点 i 的角动量公式并利用基矢叉乘关系:

可得该质点角动量的 z 分量为:

质点 i 的角动量还包含径向分量,不过基矢 e_r 对时间的导数正比于基矢 e_,不会对 z 方向产生任何影响,因此可以在考虑角动量对时间的导数的 z 分量时把质点 i 角动量的径向分量忽略掉。注意到刚体定轴转动下,r_i 不会随时间变化,于是刚体总角动量对时间的导数的 z 分量为:

后文为了表述的简洁性,将把角动量的 z 分量简称为角动量。定义刚体的转动惯量为:

那么角动量随时间的变化率可以写为:

接着,考虑质点 i 的外力矩:

于是:

这就是刚体定轴转动的角动量定理。

(张朝阳推导刚体定轴转动的角动量定理)
如果外力等于 0,那么上式右边等于零,换言之 I 为常数,不随时间变化,这就是刚体的角动量守恒定律。
张朝阳以花样滑冰时运动员在冰上的转动为例进行说明。运动员转动时也会做各种动作,虽然不能看成刚体,但角动量守恒依然成立。运动员在冰面受到的摩擦力可忽略不计,重力与支持力相互抵消,可以近似看成不受外力作用。当运动员转动过程中,如果将手缩回,则转动惯量公式中与手对应的 r_i 变小了,从而运动员的转动惯量也将变小;因为角动量保持不变,所以运动员的角速度 必然会增大;反之,如果运动员的手伸张出去,角速度则会变小。
对于刚体定轴转动的角动量定理,张朝阳则以走钢丝的杂技演员手持长杆作为例子。杂技演员手中的长杆可以帮其提高转动惯量,从而在受到同等大小的力矩扰动的情况下,手持长杆时会比没有长杆时的角速度改变量要小,杂技演员也因此更容易恢复平衡。
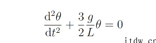
作为刚体角动量定理的应用,他还计算了长杆单摆在重力作用下的运动。假设长杆的质量线密度为 ,长度为 L,那么它的转动惯量为:

对长杆单摆的力矩贡献不为 0 的只有重力,重力力矩为:

将其代入刚体的角动量定理,化简得到:

张朝阳强调,如果简单地把长杆看成所有质量集中于长杆质心处的物体,得到的单摆方程会变为:

其系数 2 与严格推导得到的 3/2 有较大差别,因此,不能简单地把物体的所有质量等效到质心处。回到正确的单摆方程,虽然它本身比较复杂,不能简单地求解,但是当摆动角很小时,sin 约等于 ,在此近似下有:

该方程与谐振子的振动方程类似。于是小幅度长杆单摆的角频率为:

频率和周期分别为:

1、IT大王遵守相关法律法规,由于本站资源全部来源于网络程序/投稿,故资源量太大无法一一准确核实资源侵权的真实性;
2、出于传递信息之目的,故IT大王可能会误刊发损害或影响您的合法权益,请您积极与我们联系处理(所有内容不代表本站观点与立场);
3、因时间、精力有限,我们无法一一核实每一条消息的真实性,但我们会在发布之前尽最大努力来核实这些信息;
4、无论出于何种目的要求本站删除内容,您均需要提供根据国家版权局发布的示范格式
《要求删除或断开链接侵权网络内容的通知》:https://itdw.cn/ziliao/sfgs.pdf,
国家知识产权局《要求删除或断开链接侵权网络内容的通知》填写说明: http://www.ncac.gov.cn/chinacopyright/contents/12227/342400.shtml
未按照国家知识产权局格式通知一律不予处理;请按照此通知格式填写发至本站的邮箱 wl6@163.com