本篇文章给各位网友带来的资讯是:AI 做题家卷疯了!高数考试正确率 81%,竞赛题成绩超过计算机博士 详情请欣赏下文
高数考不好,不知道是多少人的噩梦。

如果说你高数考得还不如 AI 好,是不是就更难以接受了?
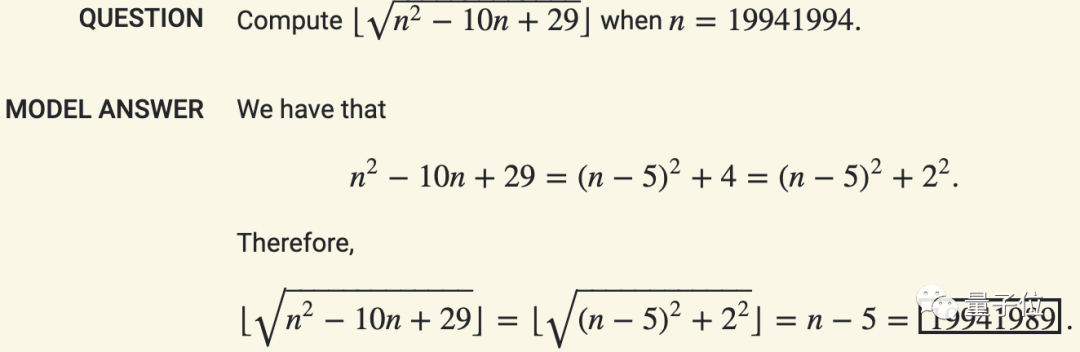
没错,来自 OpenAI 的 Codex 已经在 MIT 的 7 门高数课程题目中正确率达到 81.1%,妥妥的 MIT 本科生水平。
课程范围从初级微积分到微分方程、概率论、线性代数都有,题目形式除了计算、甚至还有画图。

这件事最近还登上了微博热搜。

△ “仅”得 81 分,对 AI 的期待也太高了吧
现在,谷歌那边又传来了最新大消息:
不止数学,我们的 AI 甚至在整个理工科上,都已经拿到最高分啦!
看来在培养“AI 做题家”这件事上,科技巨头们已经卷出了新高度。

谷歌这个最新 AI 做题家,参加了四门考试。
数学竞赛考试 MATH,以往只有三届 IMO 金牌得主才拿过 90 分,普通的计算机博士甚至只能拿到 40 分左右。
至于别的 AI 做题家们,以前最好成绩只有 6.9 分……
但这一次,谷歌新 AI 却刷到了 50 分,比计算机博士还高。
综合考试 MMLU-STEM,内含数理化生、电子工程和计算机科学,题目难度达到高中甚至大学水平。
这一次,谷歌 AI“满血版”,也都拿到了做题家中的最高分,直接将分数拉高了 20 分左右。

小学数学题 GSM8k,直接将成绩拉升到 78 分,相比之下 GPT-3 还没及格(仅 55 分)。
就连 MIT 本科和研究生学的固体化学、天文学、微分方程和狭义相对论等课程,谷歌新 AI 也能在 200 多道题中,答出将近三分之一。

最重要的是,与 OpenAI 凭借“编程技巧”取得数学高分的方法不同,谷歌 AI 这一次,走的可是“像人一样思考”的路子 ——
它像一个文科生一样只背书不做题,却掌握了更好的理工科解题技巧。
值得一提的是,论文一作 Lewkowycz 还分享了一个论文中没写到的亮点:
我们的模型参加了今年的波兰数学高考,成绩比全国平均分还要高。

看到这里,有的家长已经坐不住了。
如果告诉我女儿这件事,我怕她用 AI 做作业。但如果不告诉她,就没有让她对未来做好准备!

在业内人士看来,只靠语言模型,不对算数、逻辑和代数做硬编码达到这种水平,是这项研究最惊艳的地方。

那么,这是怎么做到的?
AI 狂读 arXiv 上 200 万篇论文
新模型 Minerva,基于 Pathway 架构下的通用语言模型 PaLM 改造而来。
分别在 80 亿、600 亿和 5400 亿参数 PaLM 模型的基础上做进一步训练。
Minerva 做题与 Codex 的思路完全不同。
Codex 的方法是把每道数学题改写成编程题,再靠写代码来解决。
而 Minerva 则是狂读论文,硬生生按理解自然语言的方式去理解数学符号。
在 PaLM 的基础上继续训练,新增的数据集有三部分:
主要有 arXiv 上收集的 200 万篇学术论文,60GB 带 LaTeX 公式的网页,以及一小部分在 PaLM 训练阶段就用到过的文本。

通常的 NLP 数据清洗过程会把符号都删掉只保留纯文字,导致公式不完整,比如爱因斯坦著名的质能方程只剩下了 Emc2。

但谷歌这次把公式都保留,和纯文本一样走一遍 Transformer 的训练程序,让 AI 像理解语言一样去理解符号。
与之前的语言模型相比,这是 Minerva 在数理问题上表现更好的原因之一。
但与专门做数学题的 AI 相比,Minerva 的训练中没有显式的底层数学结构,这带来一个缺点和一个优点。
缺点,是可能出现 AI 用错误的步骤得到正确答案的情况。
优点,是可以适应不同学科,即使有些问题无法用正规的数学语言表达出来,也可以结合自然语言理解能力解出来。
到了 AI 的推理阶段,Minerva 还结合了多个最近谷歌开发的新技术。
先是 Chain of Thought 思维链路提示,今年一月由谷歌大脑团队提出。
具体来说就是在提问的同时给一个分步骤回答的示例来引导。AI 在做题时就可以采用类似的思考过程,正确回答本来会答错的题目。

再有是谷歌和 MIT 合作开发的 Scrathpad 草稿纸方法,让 AI 把分步计算的中间结果临时存储起来。

最后还有 Majority Voting 多数表决方法,也是今年 3 月才发表的。
让 AI 多次回答同一个题目,选择答案中出现频率最高的。

所有这些技巧全用上以后,5400 亿参数的 Minerva 在各种测试集中达到 SOTA。
甚至 80 亿参数版的 Minerva,在竞赛级数学题和 MIT 公开课问题中,也能达到 GPT-3 最新更新的 davinci-002 版本水平。

说了这么多,Minerva 具体都能做出哪些题目?
对此谷歌也开放出了样例集,一起来看一下。
数理化生全能,连机器学习都会
数学上,Minerva 可以像人类一样按步骤计算数值,而不是直接暴力求解。

对于应用题,可以自己列出方程式并做简化。

甚至还可以推导证明。

物理上,Minerva 可以求中性氮基态(Z = 7)电子的总自旋量子数这样的大学水平题目。

生物和化学上,Minerva 凭借语言理解能力也可以做各种选择题。
以下哪种点突变形式对 DNA 序列形成的蛋白质没有负面影响?

以下哪种是放射性元素?

以及天文学:为什么地球拥有很强的磁场?

在机器学习方面,它通过解释“分布外样本检测”的具体含义,从而正确了给出这个名词的另一种说法。

……
不过,Minerva 有时也会犯一些低级错误,比如把等式两边的√给消了。

除此之外,Minerva 会出现的推理过程错误但结果对的“假阳性”情况,比如下面这种,有 8% 的可能性。

经过分析之后,团队发现主要的错误形式来自计算错误和推理错误,只有小部分来自题意理解错误和在步骤中使用了错误的事实等其他情况。
其中计算错误可以轻易通过访问外部计算器或 Python 解释器解决,但其他种类的错误因为神经网络规模太大就不太好调整了。

总的来看,Minerva 的表现让很多人感到惊艳,纷纷在评论区求 API(可惜谷歌目前并没有公开计划)。

有的网友想到,加上前几日让 GPT-3 解题正确率暴涨 61% 的“哄一哄”大法,它的准确率或许还可以再提高?

不过作者的回应是,哄一哄方法属于零样本学习,再强恐怕也比不上带 4 个例子的少样本学习。

还有网友提出,既然它可以做题,那么能不能反过来出题?

事实上用 AI 给大学生出题这件事,MIT 已经联合 OpenAI 在做了。
他们把人类出的题和 AI 出的题混在一起,找学生来做问卷调查,大家也很难分清一道题是不是 AI 出的。

总之现在的情况,除了搞 AI 的在忙着读这篇论文以外。
学生们盼着有一天能用 AI 做作业。

老师们也盼着有一天能用 AI 出卷子。

论文地址:
https://storage.googleapis.com/minerva-paper/minerva_paper.pdf
Demo 地址:
https://minerva-demo.github.io/
相关论文:
Chain of Thought
https://arxiv.org/abs/2201.11903
Scrathpads
https://arxiv.org/abs/2112.00114
Majority Voting
https://arxiv.org/abs/2203.11171
参考链接:
https://ai.googleblog.com/2022/06/minerva-solving-quantitative-reasoning.html
https://twitter.com/bneyshabur/status/1542563148334596098
https://twitter.com/alewkowycz/status/1542559176483823622
1、IT大王遵守相关法律法规,由于本站资源全部来源于网络程序/投稿,故资源量太大无法一一准确核实资源侵权的真实性;
2、出于传递信息之目的,故IT大王可能会误刊发损害或影响您的合法权益,请您积极与我们联系处理(所有内容不代表本站观点与立场);
3、因时间、精力有限,我们无法一一核实每一条消息的真实性,但我们会在发布之前尽最大努力来核实这些信息;
4、无论出于何种目的要求本站删除内容,您均需要提供根据国家版权局发布的示范格式
《要求删除或断开链接侵权网络内容的通知》:https://itdw.cn/ziliao/sfgs.pdf,
国家知识产权局《要求删除或断开链接侵权网络内容的通知》填写说明: http://www.ncac.gov.cn/chinacopyright/contents/12227/342400.shtml
未按照国家知识产权局格式通知一律不予处理;请按照此通知格式填写发至本站的邮箱 wl6@163.com